top of page
Bristol Reservoirs Fly Fishers' Association.
Home
About Us
The Committee
Administration
Join the BRFFA
The Lakes
Benefits
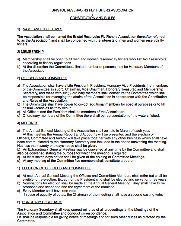
Club Rules
Sponsors
Privacy Policy
Letters/Articles
Contact Us
Events Calendar
BRFFA Team Selection
2026 Competitions
Fly Tying
Competition Results
Trophy Winners
Auctions
News Feed
Newsletters
The fight to save Chew and Blagdon
Gallery
Membership
More
Use tab to navigate through the menu items.
BRFFA website banner-1-Cover + Image Right (1)
Blagdon-Fishing-Lodge-1024x479
Sunset at Barrow Tanks Trout Fishery_edited
BRFFA website banner-1-Cover + Image Right (1)
1/8
bottom of page